Last update 04/01/2020
Weighted Average Cost of Capital
WACC Formula
Here is the basic formula to calculate for weighted average cost of capital (WACC):
WACC = (( E / V ) * Re) + [( ( D / V ) * Rd) * (1-T)]
E = Market value of the business entity’s equity
D = Market value of the business entity’s debt
V = Total Market Value of the company (E + D)
Re = Cost of Equity | based on risk-free interest plus risk elements (see link)
Rd = Cost of Debt | based on the current market rate of debt for this specific business entity
T= Tax Rate | effective tax rate for the business entity

A company is typically financed using a combination of debt (bonds) and equity (stocks). Because a company may receive more funding from one source than another, we calculate a weighted average to find out how expensive it is for a company to raise the funds needed to buy buildings, equipment, and inventory.
Let’s look at an example:
Assume newly formed Corporation ABC needs to raise $1 million in capital so it can buy office buildings and the equipment needed to conduct its business. The company issues and sells 6,000 shares of stock at $100 each to raise the first $600,000. Because shareholders expect a return of 6% on their investment, the cost of equity is 6%.
Corporation ABC then sells 400 bonds for $1,000 each to raise the other $400,000 in capital. The people who bought those bonds expect a 5% return, so ABC’s cost of debt is 5%.
Corporation ABC’s total market value is now ($600,000 equity + $400,000 debt) = $1 million and its corporate tax rate is 35%. Now we have all the ingredients to calculate Corporation ABC’s weighted average cost of capital (WACC).
WACC = (($600,000/$1,000,000) x .06) + [(($400,000/$1,000,000) x .05) * (1-0.35))] = 0.049 = 4.9%
Corporation ABC’s weighted average cost of capital is 4.9%.
This means for every $1 Corporation ABC raises from investors, it must pay its investors (shareholders and debt-holders) almost $0.05 in return.
See also: https://www.investopedia.com/terms/w/wacc.asp
IRR – Internal rate of return
First of all, what is IRR? Simply stated, the Internal rate of return (IRR) for an investment is the percentage rate earned on each dollar invested for each period it is invested. IRR is also another term people use for interest. Ultimately, IRR gives an investor the means to compare alternative investments based on their yield.
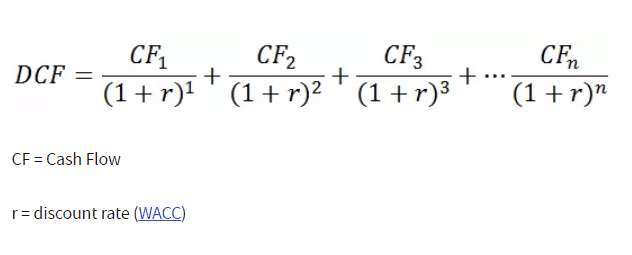
Mathematically, the IRR can be found by setting the Net Present Value (NPV) equation equal to zero (0) and solving for the rate of return (IRR). So in the formula below DCF is zero and r is IRR.


https://www.investopedia.com/terms/i/irr.asp

