Last update 13/12/2019
The probability of default (PD) represents the likelihood of a borrower defaulting on its financial obligation, either over the next 12 months (12M PD) or over the remaining lifetime (Lifetime PD) of the obligation. See also ‘Definition of Default‘.
PD is defined as the probability of whether borrowers will default on their obligations in the future. For assets which are in stage 1, a 12-month PD is required. For stage 2 assets, a lifetime PD is required for which a PD term structure needs to be built. [see Stage 1 2 3] Probability of default
Historical PD derived from a bank’s internal credit rating data has to be calibrated with forward-looking macroeconomic factors to determine the PD term structure.
The forward-looking PD shall reflect the entities’ current view of the future and should be an unbiased estimate as it should not include any conservatism or optimism.
The following list of methodologies can be used to generate forward-looking PD term structures:
- Markov chain model Probability of default
- Parametric survival regression (Weibull model) Probability of default
- Vasicek single factor model Probability of default
- Forward intensity model on distance-to-default approach (public-listed firms) Probability of default
- Pluto Tasche PD model (low/no default portfolio) Probability of default
Markov chain model
The Markov chain model to build a PD term structure requires plotting of transition matrices till the lifetime of the asset. Probability of default
Markov chain is built by matrix multiplication of PIT PDs. The chain is overlayed with credit index (representation of the economic conditions of that particular year) to derive forward-looking PDs. The transition matrices are then multiplied to compute the cumulative or lifetime PD over particular maturities. The matrix multiplication ensures movement of a performing loan to default over a period of time.
Parametric survival regression (Weibull Model) 1
The principle of the parametric survival regression is to link the survival time of an individual to covariates using a specified probability distribution (generally Weibull distribution). The Weibull model is a well-recognised statistical technique for exploring the relationships between the survivals of the borrowers, a parametric distribution and several explanatory variables. In estimating the probability of default under the new standard the variables shall be the forward-looking macroeconomic factors. Once the parameters to the distribution and various explanatory variables have been established, forecasted point-in-time PDs can be derived for individual borrowers or certain segments collectively.


The survival plot modelled through Weibull parametric regression shows the survival probabilities of two different groups with number of days as explanatory variable. The survival probability of group 1 is higher as the days increase as compared to group 2 borrowers. The survival probabilities are also dependent upon the confidence interval chosen.
Vasicek single factor model
There are various PD modelling techniques which can be used in order to derive forward-looking PDs for the portfolios which do not have any internal default history. The Vasicek single factor model is popular generally for investment portfolio whereby external ratings with corresponding through the cycle (TTC) PDs are available from various rating agencies. The derivation of point in time PDs based upon the impact of relevant macroeconomic factors takes place through The Vasicek approach after incorporating the asset correlation.
The Vasicek model uses three inputs to calculate the PD for an asset class.
- TTC PD specific for an asset class
- Portfolio economic index over the interval (0,T) for which the PDs are estimated
- Lifetime PDs are calculated using the following Link Function:
![]() ![]() |
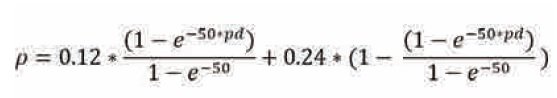
In the case of investments, we may obtain through the cycle (TTC) PD’s from S & P Default Study, Fitch or Moody’s. Asset correlation (ρ) is calculated using Basel risk weight formula2 i.e.


Forward intensity model on distance to default approach
This methodology employs both market-based and accounting-based firm-specific attributes, as well as the macro-financial factors. The PD is based on the forward intensity model applied for corporate default prediction and uses a bottom-up approach to aggregate individual firms’ behaviours into a portfolio’s default profile. The PD by modelling the occurrences of default as Poisson processes, each with its own stochastic intensity. Forward intensities are the building blocks to generate a forward-looking PD term structure from one month up to five years.
The distance of default takes into account the following data points: asset value, default point, asset volatility, non-interest income and prediction period.


Pluto Tasche PD model
The Pluto Tasche PD model is used to model low default portfolios based upon the assumption that the PDs increase as we move down the rating grades (best to worst) because the borrowers in the worse rating grades fall in the zone of rejection. The zone of rejection depends upon the confidence interval chosen.
With the decrease in the confidence interval, the range for rejection or defaults decrease, and hence, very few borrowers are in that range, thus decreasing the PDs as compared to a higher confidence interval.
With the varying confidence interval, the PDs might vary. Hence to remove such a variance, scaling can be instrumental.
The objective of scaling is to restrict the maximum number of defaults that will occur in a given portfolio based on either the historical average default rate or a management estimate of the same. The scaling factor will either pull up the PDs or push them down depending on the input of the number of borrowers and the average default rate.
Banks should ascertain that their rating models are well calibrated and validated from time to time to assure good discriminatory power across the rating grades, and should conclude that risk increases as we move down the rating grades in any model where Pluto Tasche is being used for PDs generation.
Disclosure requirements
Following is an example disclosure of how a reporting entity translates IFRS into understandable policies in the notes to the financial statements.
|
IFRS Link |
Explanation |
|
The insurer defines a financial instrument as in default, which is fully aligned with the definition of credit-impaired when it meets one or more of the following criteria: Quantitative criteria The borrower is more than 90 days past due on its contractual payments. Qualitative criteria The borrower meets the unlikeliness to pay criteria, which indicates the borrower is in significant financial difficulty. These are instances where:
|
|
|
The criteria above have been applied to all financial instruments held by the insurer and are consistent with the definition of default used for internal credit risk management purposes. The default definition has been applied consistently to model the probability of default (PD), exposure at default (EAD) and loss given default (LGD) throughout the insurer’s expected loss calculations. |
|
| IFRS 7 B8A (c) |
An instrument is considered to no longer be in default (i.e. to have cured) when it no longer meets any of the default criteria for a consecutive period of six months. This period of six months has been determined based on an analysis that considers the likelihood of a financial instrument returning to default status after cure using different possible cure definitions. |
See also: The IFRS Foundation



